Mayonnaise

Contributed by Jess Zeldes, edited by Arif Z. Nelson

June 30, 2021

EN 中文

Hi everyone! My name is Jess, and I’m an intern through the Society of Physics Students and the American Institute of Physics, and I’m super excited to spend my summer helping out with the Soft Matter Kitchen and the Society of Rheology. You can expect to see me popping in occasionally here to share some of my passion for cooking an array of rheologically weird and interesting foods, as well as some of my love of at-home experimentation.

Main thumbnail.jpg
 

What is Mayonnaise?

To understand mayonnaise, we need to understand one of the most common techniques for creating complex fluids, both in labs and in the kitchen: emulsification. At its simplest, an emulsion is a substance obtained from combining two liquids that are immiscible, meaning they do not mix or combine under typical conditions. Usually, this is a combination of a polar and a nonpolar liquid, most commonly water and oil, respectively. In an emulsion, small droplets of one liquid (the dispersed phase) are spread throughout another liquid (the continuous phase). As discussed in the entry on Dalgona coffee, though these droplets are unstable under normal conditions, the presence of a surfactant—also called an “emulsifier—can stabilize the droplets by lowering the interfacial tension between the two liquids. Emulsions are crucial to cooking traditions around the world, but their use is particularly venerated in classical French cuisine. Much of the French sauce making tradition revolves around emulsions, from the 3-ingredient hollandaise that forms the base of many other sauces, to complex sabayons and nages. 

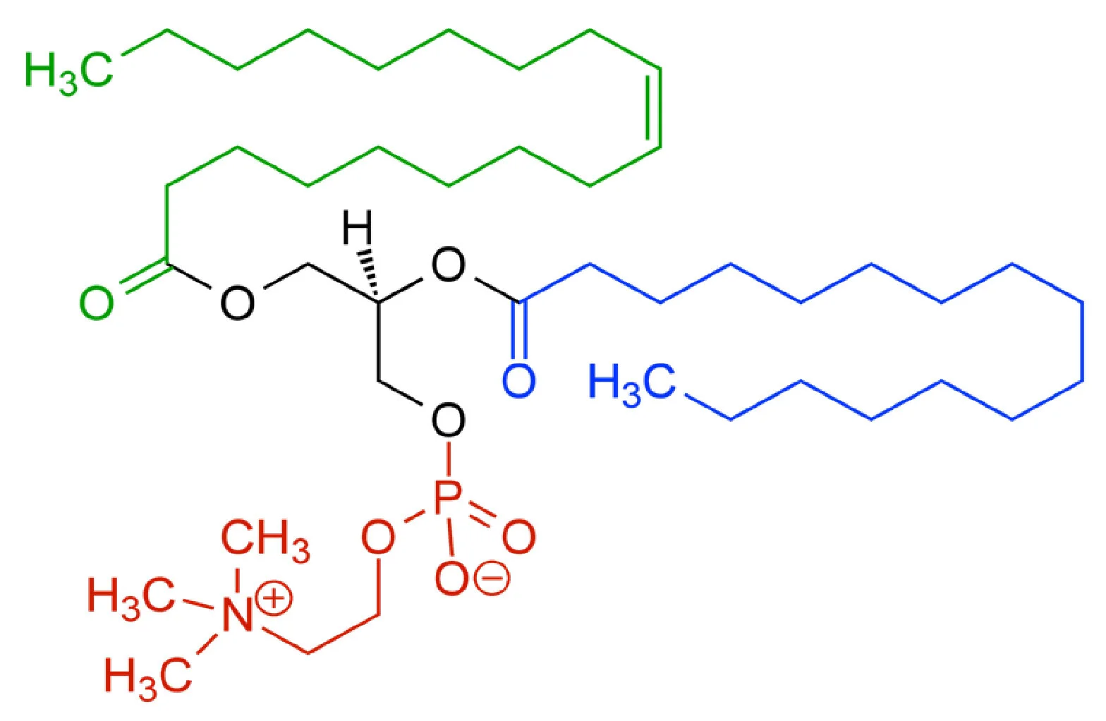
A lecithin molecule contains polar (red) and nonpolar (green) groups that reduce the interfacial tension in an emulsion

A lecithin molecule contains polar (red) and nonpolar (green) groups that reduce the interfacial tension in an emulsion

At its core, mayonnaise is an oil-in-water emulsion of a neutrally flavored oil—often canola or safflower—and an acid—usually lemon juice or white wine vinegar. Raw or pasteurized egg is added and contains the primary emulsifier. The emulsifying power of the egg yolks comes from lecithin, a phospholipid shown in the figure. The lecithin molecule contains a polar phosphate group (red), as well as a nonpolar fatty acid (green). When making an oil-in-water emulsion, the lecithin molecules orient themselves around oil droplets with their nonpolar heads facing inward and their polar tails facing outward into the continuous phase. This reduces the interfacial tension between the two liquids and stabilizes the mixture. These properties allow lecithin to be an incredibly powerful emulsifier. When combined properly, one egg yolk can reportedly stabilize almost 6 gallons of mayonnaise.

Making the Mayonnaise

For my testing, I started with a super simple batch of mayonnaise. I combined 1 raw egg yolk (~20g), with 15mg of lemon juice, and 1 tsp (7g) of Dijon mustard; mustard contains secondary emulsifiers and also flavoring. Separately, I measured out 1 cup (193g) of canola oil. After whisking together the non-oil ingredients, I slowly began to add the oil drop-by-drop, whisking between each addition. Once the emulsion began to form, I slightly increased the rate of oil addition, causing the entire combination process to take approximately three minutes. After the mixture was complete, I seasoned the mayonnaise with salt and pepper. 

 
The process of making the mayonnaise, oil was added drop-by-drop and whisked in to create an emulsion

The process of making the mayonnaise, oil was added drop-by-drop and whisked in to create an emulsion

 

The advantage of making mayo through this classical process is that it allowed me to observe the rheological properties of the emulsion as it formed. After 17g of oil had been added, the mayo behaved like a low-viscosity Newtonian fluid, quickly flowing to return to its usual state when I deformed it with the whisk. At 61g of oil added, the mixture still appeared to be Newtonian though the viscosity had increased significantly. However, above 94g of oil, the change in the properties of the mixture became very noticeable. At this point, the volume fraction of oil was approximately 80%, and the droplets of oil were concentrated enough to jam against each other and prevent flow at low stresses. Though the mixture still flowed readily when whisking, when I tilted the bowl slightly, the mayonnaise did not flow with gravity, instead holding its shape. However, at steeper bowl-angles, the mayonnaise still flowed. This indicates that the mayonnaise has begun to act as a yield-stress fluid, with the critical stress being applied somewhere in between a 15 and 30 degree bowl angle. As more oil was added, in the 124g and 193g photos, the critical yield stress of the fluid increased. In the 124g and 193g photos, clear lines from whisking are visible, as the fluid holds its shape after being deformed by the stress from the whisk. 


Experiments and the Rheology

To understand the properties of our mayonnaise, let’s dive down a little more into what’s happening at the micro-scale in our emulsion. By adding the oil very slowly and whisking rapidly the oil is broken into small droplets, which are then dispersed throughout the continuous water-based phase. This creates a microstructure, which is responsible for most of the interesting rheological properties of our emulsion. The mayonnaise is best described as being in a highly jammed, glassy state, with small droplets of oil stabilized by the surfactant interacting repulsively throughout the fluid.

Making mayonnaise using a high-powered stick-blender

Making mayonnaise using a high-powered stick-blender

After finishing preparation of my mayonnaise, I noticed that it looked fairly different from the mayonnaise I typically make using a method adapted from The Food Lab, by J. Kenji Lopez Alt. In that method, a high-powered stick-blender is used to emulsify the mayonnaise, instead of whisking. The mayonnaise that I made by hand was yellower, less glossy, and less thick than the mayo that I was used to making. To test whether this was a difference in method or in recipe, I made a batch of mayonnaise using the same ingredients, but using a stick blender. To do this, I combined the egg yolk, Dijon, and lemon juice with salt and pepper in the base of a mason jar, then poured all of the oil on top. After waiting for the oil to settle, I put a stick blender into the bottom of the jar. Then, I turned the blender on high. As the blender runs, it forms a vortex of oil, slowly pulling down oil and forming the emulsion in the bottom of the jar. In this case, it took about 15 seconds for all of the oil in the jar to emulsify. When I removed the blender, I immediately noticed visual differences between the blended and whisked mayonnaise. The blended mayonnaise was whiter, and looked more cohesive. Additionally, when I stirred both mayos using the same knife at approximately the same rate, I noticed that the blended mayonnaise had a higher viscosity while in motion. On tasting samples of both mayos, I noted that while the taste of both were similar, the blended mayonnaise had a substantially smoother mouthfeel, and left slightly less of an oily finish in the mouth. Admittedly, my tastings of both mayonnaises were not blinded, so it is possible that bias was introduced, but I found the differences between the two types quite noticeable. 

To explain the differences between the mayonnaise made using the two methods, it’s useful to consider how each of the methods disperses oil into the emulsion. Due to the electric motor, the hand blender is able to create a significantly greater shearing force than a hand whisk. This enables the blender to create a smaller average oil droplet size, as a larger force will split droplets into smaller sizes. Additionally, because the hand blender method creates a vortex which pulls in oil at a constant rate, we would expect a narrower distribution of droplet sizes in the dispersed phase. Combined, these two microscopic properties are likely to explain the differences I observed in the macroscopic behavior of the mayo. Smaller droplet sizes are usually more able to scatter different colors of light, which could lead to a whiter appearance. The more cohesive behavior of the blended mayonnaise is likely due to a higher yield stress, and smaller dispersed phase droplet size is known to correlate with a higher yield stress in most emulsions.  

One way to get an idea of the droplet size distribution in an emulsion is to look at the stability of a substance. One of the main ways that emulsions break down is through Ostwald ripening. During this process, large droplets absorb smaller ones to enter a lower-energy state. Eventually, the large droplets become big enough to break the homogenous state of the emulsion. The more consistent the droplet distribution, the longer the predicted time-scale for Ostwald Ripening. Therefore, if my hypothesis about more consistent droplet sizes was correct, I would expect the blended mayo to have better long-term stability than the whisked mayo. 

Comparison of the stability and texture of the two mayonnaises

Comparison of the stability and texture of the two mayonnaises

My hypothesis was proven correct when I took each of the mayos out of the fridge the next day (about 21 hours after preparation). While the blended mayo looked nearly identical to the day before, the emulsion of the whisked mayonnaise had broken. Instead of a cohesive substance, it now looked like a liquidy mayo mixture sitting in a pool of oil. On tasting, the blended mayo was similar to the day before, but the whisked mayo tasted notably oilier and slightly gritty, overall making for a rather unpleasant eating experience.

Using the Mayonnaise

To celebrate my large influx of delicious mayonnaise, I decided to make some pork steamed buns with mayonnaise. I cooked a piece of pork belly sous vide at 170 degrees Fahrenheit for 12 hours with Shaoxing wine, brown sugar and soy sauce. After cooking I reduced the sauce to about 2 Tbsp, and combined it with a cup of mayonnaise to make a sauce. Then, I broiled the pork to char the crust, and served it with some steam buns from the local Chinese market, topping each with some quick pickles, cilantro, and scallions. Everything came out delicious, and the creamy mayonnaise complimented the ultra tender pork and the crispy fresh veggies perfectly. A great way to use up a lot of mayo fast.